Ecuaciones diferenciales

Páginas

  • Página principal
  • Dennis G. Zill
  • Edwards y Penney
  • Boyce y DiPrima
  • G.F. Simmons
  • Nagle-Saff-Snider
  • Kiseliov-Krasnov-Makarenko
  • Ketty Abaroa de Rezende
  • Arthur Mattuck (MIT)
  • Khan Academy
  • MIscelánea
  • Foros
  • Twitter

viernes, 26 de octubre de 2012

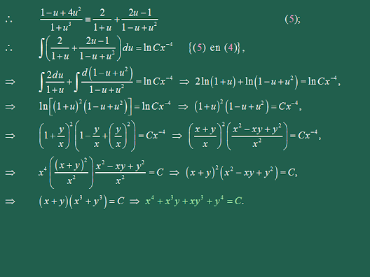
Kiseliov-Krasnov-Makarenko_147: Ecuación diferencial homogénea




Publicado por Juan Carlos Beltran B. en 15:00
Etiquetas: Makarenko

No hay comentarios:

Publicar un comentario

Entrada más reciente Entrada antigua Inicio
Suscribirse a: Enviar comentarios (Atom)

Etiquetas

Arthur Mattuck Makarenko Ketty Abaroa Zill 2.2 Edwards y Penney 1.1 Edwards y Penney 1.2 Simmons 3.15 Zill 2.3 Simmons 1.2 Simmons 1.3 Zill 3.1 Boyce y DiPrima 2.1 Boyce y DiPrima 2.3 Boyce y DiPrima 2.5 Boyce y DiPrima 3.1 Boyce y DiPrima 3.2 Boyce y DiPrima 6.1 Edwards y Penney 1.5 Khan Academy Miscelánea Nagle 1.2 Nagle 2.2 Nagle 2.3 Nagle 4.2 Nagle 7.2 Simmons 2.7 Simmons 3.14 Simmons 3.16 Zill 2.4 Zill 4.1

J u a n B e l t r á n

J u a n   B e l t r á n

Etiquetas

  • Arthur Mattuck
  • Boyce y DiPrima 2.1
  • Boyce y DiPrima 2.3
  • Boyce y DiPrima 2.5
  • Boyce y DiPrima 3.1
  • Boyce y DiPrima 3.2
  • Boyce y DiPrima 6.1
  • Edwards y Penney 1.1
  • Edwards y Penney 1.2
  • Edwards y Penney 1.5
  • Ketty Abaroa
  • Khan Academy
  • Makarenko
  • Miscelánea
  • Nagle 1.2
  • Nagle 2.2
  • Nagle 2.3
  • Nagle 4.2
  • Nagle 7.2
  • Simmons 1.2
  • Simmons 1.3
  • Simmons 2.7
  • Simmons 3.14
  • Simmons 3.15
  • Simmons 3.16
  • Zill 2.2
  • Zill 2.3
  • Zill 2.4
  • Zill 3.1
  • Zill 4.1

Archivo del blog

Vistas de página en total

Datos personales

Juan Carlos Beltran B.
Ver todo mi perfil
Follow @Calculo21
Imágenes del tema: mammuth. Con la tecnología de Blogger.